题目内容
若方程mx2-3x-3=0在
【答案】分析:由题意可得m≠0,令f(x)=mx2-3x-3,若方程mx2-3x-3=0在
上有1个解,可得f(
)f(3)≤0,由此求得≤m的范围.若方程mx2-3x-3=0在
上有2个解,可得
.由此求得m的范围.再把求得的这两个m的范围取并集,即得所求.
解答:解:当m=0时,解得x=-1,不满足条件,故m≠0.
由题意可得方程mx2-3x-3=0在
上有1个解或有2个解.
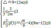
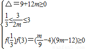
令f(x)=mx2-3x-3,若方程mx2-3x-3=0在
上有1个解,可得f(
)f(3)≤0,
即 (
-4)(9m-12)≤0,解得
≤m≤36.
若方程mx2-3x-3=0在
上有2个解,可得
.
解得
≤m≤
.
综上可得,得
≤m≤36,
故答案为[
,36].
点评:本题主要考查一元二次方程根的分布与系数的关系,二次函数的性质应用,属于中档题.
解答:解:当m=0时,解得x=-1,不满足条件,故m≠0.
由题意可得方程mx2-3x-3=0在
令f(x)=mx2-3x-3,若方程mx2-3x-3=0在
即 (
若方程mx2-3x-3=0在
解得
综上可得,得
故答案为[
点评:本题主要考查一元二次方程根的分布与系数的关系,二次函数的性质应用,属于中档题.
练习册系列答案
相关题目