题目内容
已知函数f(x)=x+
,g(x)=x+lnx,其中a>0.
(Ⅰ)若x=1是函数h(x)=f(x)+g(x)的极值点,求实数a的值;
(Ⅱ)若对任意的x1,x2∈[1,e](e为自然对数的底数)都有f(x1)≥g(x2)成立,求实数a的取值范围。
(Ⅰ)若x=1是函数h(x)=f(x)+g(x)的极值点,求实数a的值;
(Ⅱ)若对任意的x1,x2∈[1,e](e为自然对数的底数)都有f(x1)≥g(x2)成立,求实数a的取值范围。
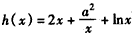
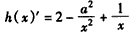
解:(Ⅰ)因为
,其定义域为
,
所以,
,
由x=1是函数h(x)的极值点,得
,即3-a2=0,
又由a>0,得
,
经检验,当
时,x=1是函数h(x)的极值点,
所以,
。
(Ⅱ)若对任意的
都有
成立等价于
对任意的
都有
,
当
时,
,所以函数g(x)在
上是增函数,
所以,
,
又由
,且
,a>0,
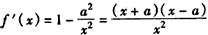
(1)当0<a<1且
时,
,
所以函数f(x)在
上是增函数,
所以,
,
由
,得
,
又由0<a<1知a不合题意,舍去;
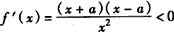
(2)当
时,
若
,则
;
若
,则
,
所以函数f(x)在
上是减函数,在
上是增函数,
所以,
,
由
,得
,
又
,所以,
;
(3)当a>e且
时,
,
所以函数f(x)在
上是减函数,
所以,
,
由
,得
,
又
,所以
;
综上所述,a的取值范围是
。
所以,
由x=1是函数h(x)的极值点,得
又由a>0,得
经检验,当
所以,
(Ⅱ)若对任意的
对任意的
当
所以,
又由
(1)当0<a<1且
所以函数f(x)在
所以,
由
又由0<a<1知a不合题意,舍去;
(2)当
若
若
所以函数f(x)在
所以,
由
又
(3)当a>e且
所以函数f(x)在
所以,
由
又
综上所述,a的取值范围是
练习册系列答案
相关题目