题目内容
在平面直角坐标系xOy中,曲线y=x2-6x+1与坐标轴的交点都在圆C上(Ⅰ)求圆C的方程;
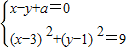
(Ⅱ)若圆C与直线x-y+a=0交与A,B两点,且OA⊥OB,求a的值.
【答案】分析:(Ⅰ)法一:写出曲线与坐标轴的交点坐标,利用圆心的几何特征设出圆心坐标,构造关于圆心坐标的方程,通过解方程确定出圆心坐标,进而算出半径,写出圆的方程;
法二:可设出圆的一般式方程,利用曲线与方程的对应关系,根据同一性直接求出参数,
(Ⅱ)利用设而不求思想设出圆C与直线x-y+a=0的交点A,B坐标,通过OA⊥OB建立坐标之间的关系,结合韦达定理寻找关于a的方程,通过解方程确定出a的值.
解答:解:(Ⅰ)法一:曲线y=x2-6x+1与y轴的交点为(0,1),与x轴的交点为(3+2
,0),(3-2
,0).可知圆心在直线x=3上,故可设该圆的圆心C为(3,t),则有32+(t-1)2=(2
)2+t2,解得t=1,故圆C的半径为
,所以圆C的方程为(x-3)2+(y-1)2=9.
法二:圆x2+y2+Dx+Ey+F=0
x=0,y=1有1+E+F=0
y=0,x2 -6x+1=0与x2+Dx+F=0是同一方程,故有有D=-6,F=1,E=-2
即圆方程为x2+y2-6x-2y+1=0
(Ⅱ)设A(x1,y1),B(x2,y2),其坐标满足方程组
,消去y,得到方程2x2+(2a-8)x+a2-2a+1=0,由已知可得判别式△=56-16a-4a2>0.
在此条件下利用根与系数的关系得到x1+x2=4-a,x1x2=
①,
由于OA⊥OB可得x1x2+y1y2=0,又y1=x1+a,y2=x2+a,所以可得2x1x2+a(x1+x2)+a2=0②
由①②可得a=-1,满足△=56-16a-4a2>0.故a=-1.
点评:本题考查圆的方程的求解,考查学生的待定系数法,考查学生的方程思想,直线与圆的相交问题的解决方法和设而不求的思想,考查垂直问题的解决思想,考查学生分析问题解决问题的能力,属于直线与圆的方程的基本题型.
法二:可设出圆的一般式方程,利用曲线与方程的对应关系,根据同一性直接求出参数,
(Ⅱ)利用设而不求思想设出圆C与直线x-y+a=0的交点A,B坐标,通过OA⊥OB建立坐标之间的关系,结合韦达定理寻找关于a的方程,通过解方程确定出a的值.
解答:解:(Ⅰ)法一:曲线y=x2-6x+1与y轴的交点为(0,1),与x轴的交点为(3+2
法二:圆x2+y2+Dx+Ey+F=0
x=0,y=1有1+E+F=0
y=0,x2 -6x+1=0与x2+Dx+F=0是同一方程,故有有D=-6,F=1,E=-2
即圆方程为x2+y2-6x-2y+1=0
(Ⅱ)设A(x1,y1),B(x2,y2),其坐标满足方程组
在此条件下利用根与系数的关系得到x1+x2=4-a,x1x2=
由于OA⊥OB可得x1x2+y1y2=0,又y1=x1+a,y2=x2+a,所以可得2x1x2+a(x1+x2)+a2=0②
由①②可得a=-1,满足△=56-16a-4a2>0.故a=-1.
点评:本题考查圆的方程的求解,考查学生的待定系数法,考查学生的方程思想,直线与圆的相交问题的解决方法和设而不求的思想,考查垂直问题的解决思想,考查学生分析问题解决问题的能力,属于直线与圆的方程的基本题型.
练习册系列答案
相关题目