题目内容
设Sn为等比数列{an}的前n项和,a6=8a3,则
【答案】分析:由Sn为等比数列{an}的前n项和,由等比数列的通项公式,利用a6=8a3,能够导出q=2,由此利用等比数列的前n项和公式能够导出
的值.
解答:解:∵Sn为等比数列{an}的前n项和,
a6=8a3,
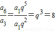
∴
,
∴q=2,
∴
=
=
=
=
=9.
故答案为:9.
点评:本题考查等比数列的通项公式和前n项和公式,是基础题.解题时要认真审题,仔细解答,注意合理地进行等价转化.
解答:解:∵Sn为等比数列{an}的前n项和,
a6=8a3,
∴
∴q=2,
∴
故答案为:9.
点评:本题考查等比数列的通项公式和前n项和公式,是基础题.解题时要认真审题,仔细解答,注意合理地进行等价转化.
练习册系列答案
相关题目
设Sn为等比数列{an}的前n项和,已知:5S4=a5+2,5S3=a4+2,则公比q=( )
| A、3 | B、4 | C、5 | D、6 |