题目内容
已知函数
【答案】分析:先求函数的导数,由函数f(x)在区间(0,1]上是减函数,则有f′(x)≤0恒成立求解.
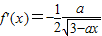
解答:解:
∵f(x)在区间(0,1]上是减函数
∴
<0
∴a>0且3-ax>0恒成立
∴a<
,0<x≤1恒成立
∴a<3
∴a取值范围为(0,3)
故答案为:(0,3)
点评:本题主要考查导数法研究函数的单调性,要注意端点的取舍情况.
解答:解:
∵f(x)在区间(0,1]上是减函数
∴
∴a>0且3-ax>0恒成立
∴a<
∴a<3
∴a取值范围为(0,3)
故答案为:(0,3)
点评:本题主要考查导数法研究函数的单调性,要注意端点的取舍情况.
练习册系列答案
相关题目