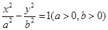
题目内容
双曲线
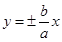
的一条渐近线方程为
,则
________.
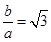
【答案】
![]()
【解析】
试题分析:双曲线
的渐近线方程为
,故
,其中
,因此
.
考点:双曲线的渐近线.
练习册系列答案
相关题目
题目内容
双曲线
的一条渐近线方程为
,则
________.
![]()
【解析】
试题分析:双曲线
的渐近线方程为
,故
,其中
,因此
.
考点:双曲线的渐近线.