题目内容
已知二次函数f(x)=x2+x,若不等式f(-x)+f(x)≤2|x|的解集为C,
(Ⅰ)求集合C;
(Ⅱ)若方程f(ax)-ax+1=5(a>0,a≠1)在C上有解,求实数a的取值范围;
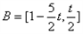
(Ⅲ)记f(x)在C上的值域为A,若
,x∈[0,1]的值域为B,且
,求实数t的取值范围。
(Ⅰ)求集合C;
(Ⅱ)若方程f(ax)-ax+1=5(a>0,a≠1)在C上有解,求实数a的取值范围;
(Ⅲ)记f(x)在C上的值域为A,若
解:(Ⅰ)f(x)+f(-x)=2x2,
当x ≥0时,
;
当x<0时,
;
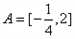
∴集合C=[-1 ,1] 。
(Ⅱ)
,
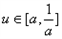
令ax=u,
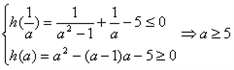
则方程为h(u)=u2-(a-1)u-5=0,h(0)=-5,
当a>1时,
,h(u)=0在
上有解,
则
;
当0<a<1时,
,g(u)=0在
上有解,
则
;
∴当
或a≥5时,方程在C上有解,且有唯一解。
(Ⅲ)
,g′(x)=3x2-3t,
①当t≤0时,g′(x)≥0,函数
在x∈[0,1]单调递增,
∴函数g(x)的值域
,
,
∴
,解得
,即
;
②当t ≥1,g′(x )≤0 ,函数g(x)在区间[0,1] 单调递减,
,
∴
,
又t≥1,
所以t≥4;
③当0<t<1时,令g′(x)=0得
(舍去负值),
当
时,g′(x)>0;当
时,g′(x)<0,
∴函数g(x)在
单调递增,在
单调递减,g(x)在
达到最小值;
要使
,则
,无解;
综上所述:t的取值范围是
。
当x ≥0时,
当x<0时,
∴集合C=[-1 ,1] 。
(Ⅱ)
令ax=u,
则方程为h(u)=u2-(a-1)u-5=0,h(0)=-5,
当a>1时,
则
当0<a<1时,
则
∴当
(Ⅲ)
①当t≤0时,g′(x)≥0,函数
∴函数g(x)的值域
∴
②当t ≥1,g′(x )≤0 ,函数g(x)在区间[0,1] 单调递减,
∴
又t≥1,
所以t≥4;
③当0<t<1时,令g′(x)=0得
当
∴函数g(x)在
要使
综上所述:t的取值范围是
练习册系列答案
相关题目