题目内容
函数
的图象可能是
![]()
【答案】
B
【解析】
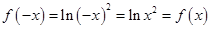
试题分析:函数
定义域为
,且
,所以函数
为偶函数,图像关于
轴对称。由复合函数单调性可知
在
上单调递减,在
上单调递增。故B正确。
考点:函数的奇偶性、单调性。
练习册系列答案
相关题目
题目内容
函数
的图象可能是
![]()
B
【解析】
试题分析:函数
定义域为
,且
,所以函数
为偶函数,图像关于
轴对称。由复合函数单调性可知
在
上单调递减,在
上单调递增。故B正确。
考点:函数的奇偶性、单调性。