题目内容
已知函数f(x)=
ax2-(2a+1)x+2lnx(a∈R),
(1)若曲线y=f(x)在x=1和x=3处的切线互相平行,求a的值;
(2)求f(x)的单调区间;
(3)设g(x)=x2-2x,若对任意x1∈(0,2],均存在x2∈(0,2],使得f(x1)<g(x2),求a的取值范围。
(1)若曲线y=f(x)在x=1和x=3处的切线互相平行,求a的值;
(2)求f(x)的单调区间;
(3)设g(x)=x2-2x,若对任意x1∈(0,2],均存在x2∈(0,2],使得f(x1)<g(x2),求a的取值范围。
解:
,
(1)由题意知f′(1)=f′(3),解得
;
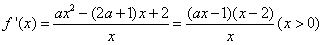
(2)
,
①当a≤0时,x>0,ax-1<0,在区间(0,2)上,f′(x)>0;在区间(2,+∞)上,f′(x)<0,
故f(x)的单调递增区间是(0,2),单调递减区间是(2,+∞);
②当
时,
,在区间(0,2)和
上,f′(x)>0;在区间
上,f′(x)<0,
故f(x)的单调递增区间是(0,2)和
,单调递减区间是
;
③当
时,
,
故f(x)的单调递增区间是(0,+∞);
④当
时,
,在区间
和(2,+∞)上,f′(x)>0;在区间
上,f′(x)<0,
故f(x)的单调递增区间是
和(2,+∞),单调递减区间是
。
(3)由题意知,在(0,2]上有f(x)max<g(x)max,
在(0,2]上,易得g(x)max=0,
由(2)可知,
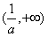
①当
时,f(x)在(0,2]上单调递增,
故f(x)max=f(2)=2a-2(2a+1)+2ln2=-2a-2+2ln2,
所以,-2a-2+2ln2<0,解得a>ln2-1,
故ln2-1<
;
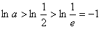
②当
时,f(x)在
上单调递增,在
上单调递减,
故
,
由
可知
,所以2lna>-2,-2lna<2,
所以,-2-2lna<0,f(x)max<0,故
;
综上所述,a>ln2-1.
(1)由题意知f′(1)=f′(3),解得
(2)
①当a≤0时,x>0,ax-1<0,在区间(0,2)上,f′(x)>0;在区间(2,+∞)上,f′(x)<0,
故f(x)的单调递增区间是(0,2),单调递减区间是(2,+∞);
②当
故f(x)的单调递增区间是(0,2)和
③当
故f(x)的单调递增区间是(0,+∞);
④当
故f(x)的单调递增区间是
(3)由题意知,在(0,2]上有f(x)max<g(x)max,
在(0,2]上,易得g(x)max=0,
由(2)可知,
①当
故f(x)max=f(2)=2a-2(2a+1)+2ln2=-2a-2+2ln2,
所以,-2a-2+2ln2<0,解得a>ln2-1,
故ln2-1<
②当
故
由
所以,-2-2lna<0,f(x)max<0,故
综上所述,a>ln2-1.
练习册系列答案
相关题目
已知函数f(x)=a-
,若f(x)为奇函数,则a=( )
| 1 |
| 2x+1 |
A、
| ||
| B、2 | ||
C、
| ||
| D、3 |