题目内容
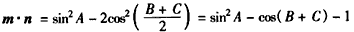
在△ABC中,角A,B,C的对边分别为a,b,c,已知a=1,向量m=
,
n=
,当m·n取到最大值时,
(Ⅰ)求角A的大小;
(Ⅱ)求△ABC周长的取值范围。
n=
(Ⅰ)求角A的大小;
(Ⅱ)求△ABC周长的取值范围。
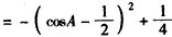
解:(Ⅰ)

,
因为
,所以当且仅当
,即
时,m·n取到最大值。
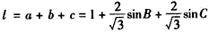
(Ⅱ)因为
,
∴
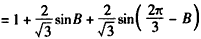
,同理
,
因为
,所以
,
所以,△ABC的周长


,
∵
,
所以,
,即
,
所以,△ABC的周长的取值范围是
。
因为
(Ⅱ)因为
∴
因为
所以,△ABC的周长
∵
所以,
所以,△ABC的周长的取值范围是
练习册系列答案
相关题目
在△ABC中,角A、B、C所对的边分别为a,b,c,若b2+c2-a2=
bc,且b=
a,则下列关系一定不成立的是( )
| 3 |
| 3 |
| A、a=c |
| B、b=c |
| C、2a=c |
| D、a2+b2=c2 |