题目内容

已知函数,

,设函数,且函数的零点均在区间内,则的最小值为(     )

A.         B.          C.          D.

 

【答案】

C

【解析】

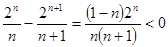
试题分析:由,当时,,所以可知函数上单调递增,又,所以可知函数在区间上有且只有一个零点,所以的零点满足;由,当时,,所以可知函数上单调递减,又=,因为当时,,所以,可知函数在区间上有且只有一个零点,所以的零点满足;因此函数零点满足的区间至少为,由此可知.

考点:导数公式、函数的零点

 

练习册系列答案
相关题目

违法和不良信息举报电话:027-86699610 举报邮箱:58377363@163.com

精英家教网