题目内容
已知
【答案】分析:根据
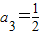
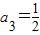
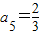
,各项均为正数的数列{an}满足a1=1,an+2=f(an),可确定a1=1,
,
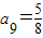
,a7=
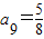
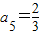
,
,
,利用a2010=a2012,可得a2010=
(负值舍去),依次往前推得到a20=
,由此可得结论.
解答:解:∵
,各项均为正数的数列{an}满足a1=1,an+2=f(an),
∴a1=1,
,
,a7=
,
,
∵a2010=a2012,
∴
∴a2010=
(负值舍去),由a2010=
得a2008=
…
依次往前推得到a20=
∴a20+a11=
故答案为:
点评:本题主要考查数列的概念、组成和性质、同时考查函数的概念.理解条件an+2=f(an),是解决问题的关键,本题综合性强,运算量较大,属于中高档试题.
解答:解:∵
∴a1=1,
∵a2010=a2012,
∴
∴a2010=
依次往前推得到a20=
∴a20+a11=
故答案为:
点评:本题主要考查数列的概念、组成和性质、同时考查函数的概念.理解条件an+2=f(an),是解决问题的关键,本题综合性强,运算量较大,属于中高档试题.
练习册系列答案
相关题目