题目内容
已知数列{an}的前n项和Sn满足:Sn=a(Sn-an+1)(a为常数,且a≠0,a≠1).(1)求{an}的通项公式;
(2)设
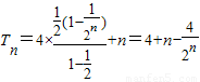
(3)在满足条件(2)的情形下,设cn=4an+1,数列{cn}的前n项和为Tn,若不等式
【答案】分析:(1)当n=1时,S1=a(S1-a1+1),得a1=1.当n≥2时,由(1-a)Sn=-aan+a,得,(1-a)Sn-1=-aan-1+a.故an=aan-1,由此能求出{an}的通项公式.
(2)由
,若数列{bn}为等比数列,则有
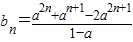
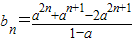
,而
,故[a3(2a+1)]2=(2a2)•a4(2a2+a+1),由此能求出a的值.
(3)由
,知
,故
,所以
,由不等式
恒成立,得
恒成立,由此能求出实数k的取值范围.
解答:解:(1)当n=1时,S1=a(S1-a1+1),得a1=1.
当n≥2时,由Sn=a(Sn-an+1),
即(1-a)Sn=-aan+a,①
得,(1-a)Sn-1=-aan-1+a,②
①-②,得(1-a)an=-aan+aan-1,
即an=aan-1,
∴
,
∴{an}是等比数列,且公比是a,
∴
.
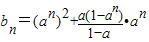
(2)由(1)知,
,
即
,
若数列{bn}为等比数列,
则有
,
而
,
故[a3(2a+1)]2=(2a2)•a4(2a2+a+1),
解得
,
再将
代入bn,得
,
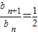
由
,知{bn}为等比数列,
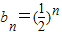
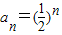
∴
.
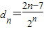
(3)由
,知
,
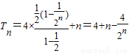
∴
,
∴
,
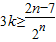
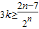
由不等式
恒成立,
得
恒成立,
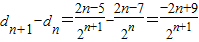
设
,由
,
∴当n≤4时,dn+1>dn,当n≥4时,dn+1<dn,
而
,
∴d4<d5,
∴
,
∴
.
点评:本题考查数列与不等式的综合,考查运算求解能力,推理论证能力;考查化归与转化思想.对数学思维的要求比较高,有一定的探索性.综合性强,难度大,是高考的重点.解题时要认真审题,仔细解答.
(2)由
(3)由
解答:解:(1)当n=1时,S1=a(S1-a1+1),得a1=1.
当n≥2时,由Sn=a(Sn-an+1),
即(1-a)Sn=-aan+a,①
得,(1-a)Sn-1=-aan-1+a,②
①-②,得(1-a)an=-aan+aan-1,
即an=aan-1,
∴
∴{an}是等比数列,且公比是a,
∴
(2)由(1)知,
即
若数列{bn}为等比数列,
则有
而
故[a3(2a+1)]2=(2a2)•a4(2a2+a+1),
解得
再将
由
∴
(3)由
∴
∴
由不等式
得
设
∴当n≤4时,dn+1>dn,当n≥4时,dn+1<dn,
而
∴d4<d5,
∴
∴
点评:本题考查数列与不等式的综合,考查运算求解能力,推理论证能力;考查化归与转化思想.对数学思维的要求比较高,有一定的探索性.综合性强,难度大,是高考的重点.解题时要认真审题,仔细解答.
练习册系列答案
相关题目
已知数列{an}的前n项和Sn=an2+bn(a、b∈R),且S25=100,则a12+a14等于( )
| A、16 | B、8 | C、4 | D、不确定 |