题目内容
已知正方形ABCD的边长为2,
H是边DA的中点.在正方形ABCD内部随机取一点P,则满足
的概率为
( )
A.
B.
C.
D.![]()
【答案】
B.
【解析】
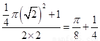
试题分析:如图,满足
的点在
,扇形
及
围成的区域内,由几何概型得所求概率为
.
![]()
考点:几何概型.
练习册系列答案
相关题目
已知正方形ABCD的边长为1,设
=
,
=
,
=
,则|
-
+
|等于( )
| AB |
| a |
| BC |
| b |
| AC |
| c |
| a |
| b |
| c |
| A、0 | ||
B、
| ||
| C、2 | ||
D、2
|