题目内容
已知两定点F1(5,0),F2(-5,0),曲线上的点P到F1、F2的距离之差的绝对值是6,则该曲线的方程为( )A.
B.
C.
D.
【答案】分析:利用双曲线的定义判断出动点的轨迹;利用双曲线中三参数的关系求出b,写出双曲线的方程.
解答:解:据双曲线的定义知,
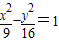
P的轨迹是以F1(5,0),F2(-5,0)为焦点,以实轴长为6的双曲线.
所以c=5,a=3
b2=c2-a2=16,
所以双曲线的方程为:
故选A.
点评:本题考查双曲线的定义:要注意定义中“差的绝对值”且“差的绝对值”要小于两定点间的距离.注意双曲线中三参数的关系.
解答:解:据双曲线的定义知,
P的轨迹是以F1(5,0),F2(-5,0)为焦点,以实轴长为6的双曲线.
所以c=5,a=3
b2=c2-a2=16,
所以双曲线的方程为:
故选A.
点评:本题考查双曲线的定义:要注意定义中“差的绝对值”且“差的绝对值”要小于两定点间的距离.注意双曲线中三参数的关系.
练习册系列答案
相关题目
已知两定点F1(5,0),F2(-5,0),曲线上的点P到F1、F2的距离之差的绝对值是6,则该曲线的方程为( )
A、
| ||||
B、
| ||||
C、
| ||||
D、
|