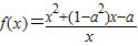
题目内容
函数A.0
B.1
C.-1
D.±1
【答案】分析:利用函数
是奇函数,可得f(-x)=-f(x),结合在(0,+∞)上单调递增,即可求得a的值.
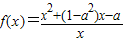
解答:解:
∵函数
是奇函数
∴f(-x)=-f(x)
∴
=-[
]
∴1-a2=0
∴a=±1
a=1时,
,f′(x)=1+
0,∴函数在(0,+∞)上单调递增,
a=-1时,
,f′(x)=1-
,∴函数在(0,1)上单调递减,在(1,+∞)上单调递增,
综上知,a=1
故选B.
点评:本题考查函数的奇偶性与单调性的结合,考查奇函数的定义,属于中档题.
解答:解:
∵函数
∴f(-x)=-f(x)
∴
∴1-a2=0
∴a=±1
a=1时,
a=-1时,
综上知,a=1
故选B.
点评:本题考查函数的奇偶性与单调性的结合,考查奇函数的定义,属于中档题.
练习册系列答案
相关题目