题目内容
在F(x)中,已知内角A、B、C所对的边分别为a、b、c,向量(I)求锐角B的大小;
(II)如果b=2,求F(x)的面积S△ABC的最大值.
【答案】分析:(I)由向量平行的坐标表示可得,
,整理可得
结合已经知道
可求B
(II);利用余弦定理可得4=a2+c2-ac,利用基本不等式可得ac≤4,代入面积公式
可求
解答:解:(I)
由向量平行的坐标表示可得,由向量平行的坐标表示可得,
即2sinBcosB+
cos2B=0
∴sin2B+
cos2B=0
∴
∵0<B<
∴B=
(II)∵b=2,B=60°
由余弦定理可得,4=b2=a2+c2-2ac×
=a2+c2-ac≥ac
∴ac≤4
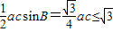
∴S△ABC=
三角形的面积最大值为
点评:本题主要考查了向量平行的坐标表示,辅助角公式,由三角函数值班求角,余弦定理及基本不等式,三角形的面积公式等知识的综合运用.
(II);利用余弦定理可得4=a2+c2-ac,利用基本不等式可得ac≤4,代入面积公式
解答:解:(I)
由向量平行的坐标表示可得,由向量平行的坐标表示可得,
即2sinBcosB+
∴sin2B+
∴
∵0<B<
∴B=
(II)∵b=2,B=60°
由余弦定理可得,4=b2=a2+c2-2ac×
∴ac≤4
∴S△ABC=
三角形的面积最大值为
点评:本题主要考查了向量平行的坐标表示,辅助角公式,由三角函数值班求角,余弦定理及基本不等式,三角形的面积公式等知识的综合运用.
练习册系列答案
相关题目