题目内容
如图,已知四棱锥P-ABCD,底面ABCD是正方形,PA⊥面ABCD,点M是CD的中点,点N是PB的中点,连接AM,AN,MN.(1)求证:MN∥面PAD;
(2)若MN=5,AD=3,求二面角N-AM-B的余弦值.
【答案】分析:(1)要证明线面平行,需要设法在平面PAD内找到与MN平行的直线,因为给出的M,N分别是DC和PB的中点,所以联想到找PA的中点E,然后利用三角形的中位线知识结合底面是正方形证出DE∥MN,则问题得到证明;
(2)求二面角N-AM-B的余弦值,可采用找二面角的平面角的办法,因为易证平面PAB⊥平面ABCD,所以可以直接过N作AB的垂线垂足为G,则该垂线垂直于底面,然后过垂足G作AM的垂线GF,连接NF,则二面角的平面角找出,然后利用题目给出的条件,通过解直角三角形进行求解即可.
解答:(1)证明:如图,
取PA的中点E,连接DE,EN,
∵点N是PB的中点,∴
.
∵点M是CD的中点,底面ABCD是正方形,
∴
.
∴EN∥DM,EN=DM.
∴四边形EDMN是平行四边形.
∴MN∥DE.
∵DE?平面PAD,MN?平面PAD,
∴MN∥面PAD;
(2)解:取AB中点G,连结NG,则NG∥PA,PA⊥面ABCD,
∴NG⊥面ABCD.
∵AM?面ABCD,
∴NG⊥AM.
过G作GF⊥AM,垂足为F,连接NF,
∵NG∩GF=G,NG?面NGF,GF?面NGF,
∴AM⊥面NGF.
∵NF?面NGF,
∴AM⊥NF.
∴∠NFG是二面角N-AM-B的平面角.
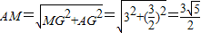
在Rt△NGM中,MN=5,MG=AD=3,得
,
在Rt△MGA中,
,得
,
.
在Rt△NGF中,
,
∴
.
∴二面角N-AM-B的余弦值为
.
点评:本题考查了线面平行的判定,考查了二面角的平面角的求法,“寻找垂面,构造垂线”是找二面角的平面角常用的方法,此题是中档题.
(2)求二面角N-AM-B的余弦值,可采用找二面角的平面角的办法,因为易证平面PAB⊥平面ABCD,所以可以直接过N作AB的垂线垂足为G,则该垂线垂直于底面,然后过垂足G作AM的垂线GF,连接NF,则二面角的平面角找出,然后利用题目给出的条件,通过解直角三角形进行求解即可.
解答:(1)证明:如图,
取PA的中点E,连接DE,EN,
∵点N是PB的中点,∴
∵点M是CD的中点,底面ABCD是正方形,
∴
∴EN∥DM,EN=DM.
∴四边形EDMN是平行四边形.
∴MN∥DE.
∵DE?平面PAD,MN?平面PAD,
∴MN∥面PAD;
(2)解:取AB中点G,连结NG,则NG∥PA,PA⊥面ABCD,
∴NG⊥面ABCD.
∵AM?面ABCD,
∴NG⊥AM.
过G作GF⊥AM,垂足为F,连接NF,
∵NG∩GF=G,NG?面NGF,GF?面NGF,
∴AM⊥面NGF.
∵NF?面NGF,
∴AM⊥NF.
∴∠NFG是二面角N-AM-B的平面角.
在Rt△NGM中,MN=5,MG=AD=3,得
在Rt△MGA中,
在Rt△NGF中,
∴
∴二面角N-AM-B的余弦值为
点评:本题考查了线面平行的判定,考查了二面角的平面角的求法,“寻找垂面,构造垂线”是找二面角的平面角常用的方法,此题是中档题.
练习册系列答案
相关题目