题目内容

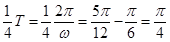
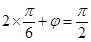
已知函数的部分图像如图,则(    )

A.      B.         C.           D.

 

【答案】

C

【解析】

试题分析:由函数的部分图象的周期性可得:,所以,再由五点法作图可得 ,∴φ,∴,且函数的周期为,∴,∵,故,故选C.

考点:由的部分图象确定其解析式.

 

练习册系列答案
相关题目

违法和不良信息举报电话:027-86699610 举报邮箱:58377363@163.com

精英家教网