题目内容
已知等差数列{an}满足a2=2,a5=8.
(1)求数列{an}的通项公式;
(2)设各项均为正数的等比数列{bn}的前n项和为Tn,若b3=a3,T3=7,求Tn.
(1)求数列{an}的通项公式;
(2)设各项均为正数的等比数列{bn}的前n项和为Tn,若b3=a3,T3=7,求Tn.
解:(1)设等差数列{an}的公差为d
a2=2a5=8

解得
?数列{an}的通项公式an=a1+(n﹣1)d=2n﹣2
(2)设各项均为正数的等比数列{bn}的公比为q(q>0)
由(1)知an=2n﹣2
a3=4
b3=a3=4
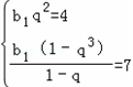
又T3=7



,
解得
bn=2n﹣1
Tn=2n﹣1
?数列{an}的通项公式an=a1+(n﹣1)d=2n﹣2
(2)设各项均为正数的等比数列{bn}的公比为q(q>0)
由(1)知an=2n﹣2
又T3=7
解得
练习册系列答案
相关题目