题目内容
已知函数(Ⅰ)如果函数y=f(x)在[1,+∞)上是单调增函数,求a的取值范围;
(Ⅱ)是否存在实数a>0,使得方程
【答案】分析:(1)由于函数的解析式中含有参数a,故我们要对a进行分类讨论,注意到a出现在二次项系数的位置,故可以分a>0,a=0,a<0三种情况,最后将三种情况得到的结论综合即可得到答案.
(2)方程
整理为ax2+(1-2a)x-lnx=0构造函数H(x)=ax2+(1-2a)x-lnx(x>0),则原方程在区间
内有且只有两个不相等的实数根即为函数H(x)在区间(
)内有且只有两个零点,根据函数零点存在定理,结合函数的单调性,构造不等式组,解不等式组即可得到结论.
解答:解:(Ⅰ)当a=0时,f(x)=2x在[1,+∞)上是单调增函数,符合题意.
当a>0时,y=f(x)的对称轴方程为
,
由于y=f(x)在[1,+∞)上是单调增函数,
所以
,解得a≤-2或a>0,所以a>0.
当a<0时,不符合题意.
综上,a的取值范围是a≥0.
(Ⅱ)把方程
整理为
,
即为方程ax2+(1-2a)x-lnx=0.
设H(x)=ax2+(1-2a)x-lnx(x>0),
原方程在区间(
)内有且只有两个不相等的实数根,
即为函数H(x)在区间(
)内有且只有两个零点
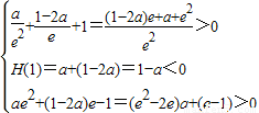
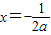
=
令H′(x)=0,因为a>0,解得x=1或
(舍)
当x∈(0,1)时,H′(x)<0,H(x)是减函数;
当x∈(1,+∞)时,H′(x)>0,H(x)是增函数.
H(x)在(
)内有且只有两个不相等的零点,
只需
即
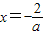
∴
解得
,
所以a的取值范围是(
).
点评:遇到类二次方程/函数/不等式(即解析式的二次项系数含有参数)时,一般要进行分类讨论,分类的情况一般有:①先讨论二次项系数a是否为0,以确定次数②再讨论二次项系数a是否大于0,以确定对应函数的开口方向,③再讨论△与0的关系,以确定对应方程根的个数.
(2)方程
解答:解:(Ⅰ)当a=0时,f(x)=2x在[1,+∞)上是单调增函数,符合题意.
当a>0时,y=f(x)的对称轴方程为
由于y=f(x)在[1,+∞)上是单调增函数,
所以
当a<0时,不符合题意.
综上,a的取值范围是a≥0.
(Ⅱ)把方程
即为方程ax2+(1-2a)x-lnx=0.
设H(x)=ax2+(1-2a)x-lnx(x>0),
原方程在区间(
即为函数H(x)在区间(
令H′(x)=0,因为a>0,解得x=1或
当x∈(0,1)时,H′(x)<0,H(x)是减函数;
当x∈(1,+∞)时,H′(x)>0,H(x)是增函数.
H(x)在(
只需
即
∴
解得
所以a的取值范围是(
点评:遇到类二次方程/函数/不等式(即解析式的二次项系数含有参数)时,一般要进行分类讨论,分类的情况一般有:①先讨论二次项系数a是否为0,以确定次数②再讨论二次项系数a是否大于0,以确定对应函数的开口方向,③再讨论△与0的关系,以确定对应方程根的个数.
练习册系列答案
相关题目