题目内容
在△ABC中,角A、B、C所对应的边分别为a、b、c,且满足(I)求角B的值;
(II)若
【答案】分析:(I)由
,利用正弦定理可得sinBsinA=
,结合sinA≠0可得tanB=
,且0<B<π从而可求B
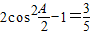
(II)由二倍角的余弦可得,cosA=
,进而可得sinA=
,sinC=sin(A+
),利用和角公式展开可求.
解答:解:(I)∵
.
由正弦定理得,sinBsinA=
,
∵sinA≠0,即tanB=
,
由于0<B<π,所以B=
.
(II)cosA=
,
因为sinA>0,故sinA=
,
所以sinC=sin(A+
)=
=
.
点评:本题主要考查了利用正弦定理解三角形,二倍角公式的应用,及三角形内角和的运用,属于对基础知识的综合考查.
(II)由二倍角的余弦可得,cosA=
解答:解:(I)∵
由正弦定理得,sinBsinA=
∵sinA≠0,即tanB=
由于0<B<π,所以B=
(II)cosA=
因为sinA>0,故sinA=
所以sinC=sin(A+
点评:本题主要考查了利用正弦定理解三角形,二倍角公式的应用,及三角形内角和的运用,属于对基础知识的综合考查.
练习册系列答案
相关题目
在△ABC中,角A、B、C所对的边分别为a,b,c,若b2+c2-a2=
bc,且b=
a,则下列关系一定不成立的是( )
| 3 |
| 3 |
| A、a=c |
| B、b=c |
| C、2a=c |
| D、a2+b2=c2 |