题目内容

数列的首项为为等差数列且.,则(    )

A.                       B.                     C.                     D.

 

【答案】

B

【解析】

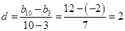
试题分析:设等差数列的公差为,则

,所以

,选B.

考点:累加法求数列通项

 

练习册系列答案
相关题目

违法和不良信息举报电话:027-86699610 举报邮箱:58377363@163.com

精英家教网