题目内容
设函数f(x)=lnx﹣x+1,
(Ⅰ)求f(x)的单调区间;
(Ⅱ)求证:lnx≤x﹣1;
(Ⅲ)证明:
(Ⅰ)求f(x)的单调区间;
(Ⅱ)求证:lnx≤x﹣1;
(Ⅲ)证明:
解:(Ⅰ)由已知得
,
由f'(x)>0,得
,
,x>1.
∴f(x)在(1,+∞)上为减函数,在(0,1)为增函数.
(Ⅱ)由(Ⅰ)知:当x=1时,f(x)max=﹣1+1=0.
对任意x>0,有f(x)≤0,
即lnx﹣x+1≤0.
即lnx≤x﹣1.
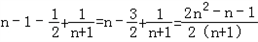
(Ⅲ)由(Ⅱ)知,
,
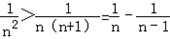
当x≥2时,则
, ∴
,
∴
=
又
,
∴
故不等式的左边小于
,
故要证的不等式成立.
由f'(x)>0,得
∴f(x)在(1,+∞)上为减函数,在(0,1)为增函数.
(Ⅱ)由(Ⅰ)知:当x=1时,f(x)max=﹣1+1=0.
对任意x>0,有f(x)≤0,
即lnx﹣x+1≤0.
即lnx≤x﹣1.
(Ⅲ)由(Ⅱ)知,
当x≥2时,则
∴
∴
故不等式的左边小于
故要证的不等式成立.
练习册系列答案
相关题目