题目内容
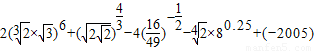
化简或求值:(1)
(2)
【答案】分析:(1)利用有理数指数幂的运算性质,把
等价转化为
,由此能够求出结果.
(2)在
中,利用对数的性质和运算法则,分子=lg5(3+3lg2)+3(lg2)2,分母=(lg6+2)-lg
.由此能够求出结果.
解答:解:(1)
=
=2×22×33+2-7-2+1
=210.
(2)在
中,
分子=lg5(3+3lg2)+3(lg2)2
=3lg5+3lg2(lg5+lg2)=3;
分母=
.
∴
=
=1.
点评:第(1)题考查有理数指数幂的运算性质和运算法则,第(2)题考查对数的运算性质和运算法则,是基础题.解题时要认真审题,仔细解答,注意合理地进行等价转化.
(2)在
解答:解:(1)
=
=2×22×33+2-7-2+1
=210.
(2)在
分子=lg5(3+3lg2)+3(lg2)2
=3lg5+3lg2(lg5+lg2)=3;
分母=
∴
点评:第(1)题考查有理数指数幂的运算性质和运算法则,第(2)题考查对数的运算性质和运算法则,是基础题.解题时要认真审题,仔细解答,注意合理地进行等价转化.
练习册系列答案
相关题目