搜索
题目内容
函数
的导数是
.
试题答案
相关练习册答案
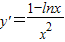
【答案】
分析:
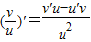
根据分式函数导数的运算法则
,以及(lnx)′=
可得答案.
解答:
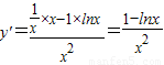
解:∵
∴
故答案为:
点评:
本题主要考查导数的运算法则,属基础题,求导公式一定要熟练掌握.
练习册系列答案
翻转课堂课堂10分钟系列答案
学习与评价江苏凤凰教育出版社系列答案
全优课程达标系列答案
创新大课堂高中新课标同步学案系列答案
学业测评一课一测系列答案
38分钟课时作业本系列答案
40分钟课时练单元综合检测卷系列答案
新教材新学案系列答案
金版课堂名师导学案系列答案
一线调研单元评估卷今年新试卷系列答案
相关题目
某校一次数学研究性学习活动中,一个密封的箱子内装有分别写上y=sinx,y=cosx,y=e
x
,
y=
1
x
,y=-
1
x
2
,lnx六个函数的六张外形完全一致的卡片(一张卡片一个函数),参与者有放回的抽取卡片,参与者只参加一次.如果只抽一张,抽得卡片上的函数是其它某一张卡片上函数的导数,抽取者将获得三等奖;如是先后各抽一张,抽出的卡片中,其中一张上的函数是另一张卡片上函数的导数,抽取者将获得二等奖;如果先后各抽一张,第一张卡片上的函数的导数是第二张卡片上的函数,抽取者将获得一等奖.
(Ⅰ)求学生甲抽一次获得三等奖的概率;
(Ⅱ)求学生乙抽一次获得二等奖的概率;
(Ⅲ)求学生丙抽一次获得一等奖的概率.
已知函数的导数是sinx,则f(x)可能是( )
A.cosx
B.cosx+2
C.9-cosx
D.-sinx
函数y=sinx(cosx+1),则函数的导数是y′=
cos2x+cosx
cos2x+cosx
.
若函数
的导数是
,则函数
的单调减区间是
A
B
C
D
函数
的导数是( )
A、
B、
C、
D、
关 闭
试题分类
高中
数学
英语
物理
化学
生物
地理
初中
数学
英语
物理
化学
生物
地理
小学
数学
英语
其他
阅读理解答案
已回答习题
未回答习题
题目汇总
试卷汇总
练习册解析答案