题目内容
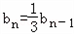
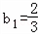
已知等差数列{an}的公差d大于0,且a2,a5是方程x2﹣12x+27=0的两根,数列{bn}的前n项和为Tn,且
.
(1)求数列{an}、{bn}的通项公式;
(2)设数列{an}的前n项和为Sn,试比较
的大小,并说明理由.
(1)求数列{an}、{bn}的通项公式;
(2)设数列{an}的前n项和为Sn,试比较
解:(1)设{an}的首项为a1,
∵a2,a5是方程x2﹣12x+27=0的两根,
∴![]()
![]()
∴an=2n﹣1
n=1时,![]()
∴![]()
n≥2时,
,
,
两式相减得
数列是等比数列,
∴![]()
(2)∵Sn=
=n2,
∴S n+1=(n+1)2,
=
.
以下比较
与S n+1的大小:
当n=1时,
=
,S2=4,∴
<S2,
当n=2时,
=
,S3=9,∴
<S3,
当n=3时,
=
,S4=16,∴
<S4,
当n=4时,
=
,S5=25,∴
>S5.
猜想:n≥4时,
>S n+1.
下面用数学归纳法证明:
①当n=4时,已证.
②假设当n=k (k∈N*,k≥4)时,
>S k+1,即
>(k+1)2.
那么n=k+1时,
=
=3
>3(k+1)2=3k2+6k+3
=(k2+4k+4)+2k2+2k﹣1>[(k+1)+1]2=S(k+1)+1,
∴n=k+1时,
>S n+1也成立.
由①②可知n∈N*,n≥4时,
>Sn+1都成立,
综上所述,当n=1,2,3时,
<S n+1;当n≥4时,
>Sn+1.
练习册系列答案
相关题目