题目内容
在△ABC中,角A,B,C所对的边分别为a,b,c,且f(A)=(Ⅰ)求函数f(A)的最大值;
(Ⅱ)若
【答案】分析:(Ⅰ)利用三角恒等变换化简函数f(A)为
,根据0<A<π,利用正弦函数的定义域和值域求得f(A)取得最大值.
(Ⅱ)由题意知
,由此求得A的值,再根据C的值,求得B的值,利用正弦定理求出b的值.
解答:解:(Ⅰ)
=
.
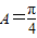
因为0<A<π,所以
.
则所以当
,即
时,f(A)取得最大值,且最大值为
.…(7分)
(Ⅱ)由题意知
,所以
.
又知
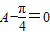
,所以
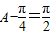
,则
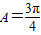
.
因为
,所以
,则
.
由
得,
. …(13分)
点评:本题主要考查三角恒等变换,正弦定理、正弦函数的定义域和值域,属于中档题.
(Ⅱ)由题意知
解答:解:(Ⅰ)
因为0<A<π,所以
则所以当
(Ⅱ)由题意知
又知
因为
由
点评:本题主要考查三角恒等变换,正弦定理、正弦函数的定义域和值域,属于中档题.
练习册系列答案
相关题目
在△ABC中,角A、B、C所对的边分别为a,b,c,若b2+c2-a2=
bc,且b=
a,则下列关系一定不成立的是( )
| 3 |
| 3 |
| A、a=c |
| B、b=c |
| C、2a=c |
| D、a2+b2=c2 |