题目内容
已知数列{an}的前n项和为
【答案】分析:根据数列通项与前n项和的关系可得:a1=S1,n≥2时,an=Sn-Sn-1,当n=1时,2n=2≠a1,由此能求出通项公式an.
解答:解:由题意可知a1=
,
n≥2时,an=Sn-Sn-1=
=
,
当n=1时,
=a1,
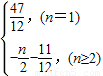
∴an=
.
故答案为:
.
点评:本题考查数列的性质和应用,解题时要注意递推公式的灵活运用.
解答:解:由题意可知a1=
n≥2时,an=Sn-Sn-1=
当n=1时,
∴an=
故答案为:
点评:本题考查数列的性质和应用,解题时要注意递推公式的灵活运用.
练习册系列答案
相关题目
已知数列{an}的前n项和Sn=an2+bn(a、b∈R),且S25=100,则a12+a14等于( )
| A、16 | B、8 | C、4 | D、不确定 |