题目内容
已知数列{an}的前n项和为Sn,且满足Sn=1-an(n∈N*).各项为正数的数列{bn}中,对于一切n∈N*,有
(1)求数列{an}和{bn}的通项公式;
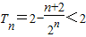
(2)设数列{anbn}的前n项和为Tn,求证:Tn<2.
【答案】分析:(1)由Sn=1-an,解得
.an=Sn-Sn-1=(1-an)-(1-an-1),由此得2an=an-1,从而得到数列{an}的通项公式.对于一切n∈N*,有
,当n≥2时,有
,由此得(n-1)bn+1-nbn+b1=0,从而得到数列{bn}的通项公式.
(2)由数列anbn的前n项和为Tn,知
,再由错位相减法知
=
=
.由此能够证明Tn<2.
解答:(1)解:∵Sn=1-an,
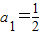
当n=1时,a1=S1=1-a1,解得
.(1分)
当n≥2时,an=Sn-Sn-1=(1-an)-(1-an-1),
得2an=an-1,即
.(3分)
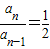
∴数列an是首项为
,公比为
的等比数列.
∴
.(4分)
∵对于一切n∈N*,有
,①
当n≥2时,有
,②
1-2②得:
3
化简得:(n-1)bn+1-nbn+b1=0,③
用n+1替换③式中的n,得:nbn+2-(n+1)bn+1+b1=0,④(6分)
③-④整理得:bn+2-bn+1=bn+1-bn,
∴当n≥2时,数列bn为等差数列.
∵b3-b2=b2-b1=1,
∴数列bn为等差数列.(8分)
∵b1=1,b2=2
∴数列bn的公差d=1.
∴bn=1+(n-1)=n.(10分)
(2)证明:∵数列anbn的前n项和为Tn,
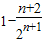
∴
,⑤
∴
,⑥
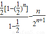
⑤-⑥得:
(12分)=
=
.
∴
.(14分)
点评:本题考查等差数列和等比数列的通项公式的求法和数列前n项和的证明,解题时要熟练掌握数列的性质和应用,注意错位相减法的灵活运用.
(2)由数列anbn的前n项和为Tn,知
解答:(1)解:∵Sn=1-an,
当n=1时,a1=S1=1-a1,解得
当n≥2时,an=Sn-Sn-1=(1-an)-(1-an-1),
得2an=an-1,即
∴数列an是首项为
∴
∵对于一切n∈N*,有
当n≥2时,有
1-2②得:
化简得:(n-1)bn+1-nbn+b1=0,③
用n+1替换③式中的n,得:nbn+2-(n+1)bn+1+b1=0,④(6分)
③-④整理得:bn+2-bn+1=bn+1-bn,
∴当n≥2时,数列bn为等差数列.
∵b3-b2=b2-b1=1,
∴数列bn为等差数列.(8分)
∵b1=1,b2=2
∴数列bn的公差d=1.
∴bn=1+(n-1)=n.(10分)
(2)证明:∵数列anbn的前n项和为Tn,
∴
∴
⑤-⑥得:
∴
点评:本题考查等差数列和等比数列的通项公式的求法和数列前n项和的证明,解题时要熟练掌握数列的性质和应用,注意错位相减法的灵活运用.
练习册系列答案
相关题目
已知数列{an}的前n项和Sn=an2+bn(a、b∈R),且S25=100,则a12+a14等于( )
| A、16 | B、8 | C、4 | D、不确定 |