题目内容
已知抛物线y2=4x的焦点为F,直线l过点M(4,0).(Ⅰ)若点F到直线l的距离为
(Ⅱ)设A,B为抛物线上两点,且AB不与x轴重合,若线段AB的垂直平分线恰过点M,求证:线段AB中点的横坐标为定值.
【答案】分析:(Ⅰ)设直线l的方程为y=k(x-4),由已知,抛物线C的焦点坐标为(1,0),因为点F到直线l的距离为
,所以
,由此能求出直线l的斜率.
(Ⅱ)设线段AB中点的坐标为N(x,y),A(x1,y1),B(x2,y2),因为AB不垂直于x轴,所以直线MN的斜率为
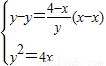
,直线AB的斜率为
,直线AB的方程为
,由此能够证明线段AB中点的横坐标为定值.
解答:解:(Ⅰ)由已知,x=4不合题意.设直线l的方程为y=k(x-4),
由已知,抛物线C的焦点坐标为(1,0),…(1分)
因为点F到直线l的距离为
,
所以
,…(3分)
解得
,所以直线l的斜率为
.…(5分)
(Ⅱ)设线段AB中点的坐标为N(x,y),A(x1,y1),B(x2,y2),
因为AB不垂直于x轴,
则直线MN的斜率为
,
直线AB的斜率为
,…(7分)
直线AB的方程为
,…(8分)
联立方程
消去x得
,…(10分)
所以
,…(11分)
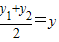
因为N为AB中点,
所以
,即
,…(13分)
所以x=2.即线段AB中点的横坐标为定值2.…(14分)
点评:本题主要考查抛物线标准方程,简单几何性质,直线与抛物线的位置关系,抛物线的简单性质等基础知识.考查运算求解能力,推理论证能力;考查函数与方程思想,化归与转化思想.本题的易错点是计算量大,容易出错.
(Ⅱ)设线段AB中点的坐标为N(x,y),A(x1,y1),B(x2,y2),因为AB不垂直于x轴,所以直线MN的斜率为
解答:解:(Ⅰ)由已知,x=4不合题意.设直线l的方程为y=k(x-4),
由已知,抛物线C的焦点坐标为(1,0),…(1分)
因为点F到直线l的距离为
所以
解得
(Ⅱ)设线段AB中点的坐标为N(x,y),A(x1,y1),B(x2,y2),
因为AB不垂直于x轴,
则直线MN的斜率为
直线AB的斜率为
直线AB的方程为
联立方程
消去x得
所以
因为N为AB中点,
所以
所以x=2.即线段AB中点的横坐标为定值2.…(14分)
点评:本题主要考查抛物线标准方程,简单几何性质,直线与抛物线的位置关系,抛物线的简单性质等基础知识.考查运算求解能力,推理论证能力;考查函数与方程思想,化归与转化思想.本题的易错点是计算量大,容易出错.
练习册系列答案
相关题目