题目内容

已知函数
(1)若函数f(x)在[1,+∞)上单调递增,求实数a的取值范围.
(2)记函数g(x)=x2[f′(x)+2x-2],若g(x)的最小值是-6,求函数f(x)的解析式.
【答案】分析:(1)由,知在[1,+∞)上恒成立,构造函数,利用导数性质,能求出实数a的取值范围.
(2)由g(x)=2x3+ax-2,x>0,知g′(x)=6x2+a,由a≥0时,g′(x)≥0恒成立知a<0,由此能求出函数f(x)的解析式.
解答:(本小题满分14分)
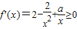
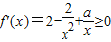
解:(1)
在[1,+∞)上恒成立…(2分)

恒成立,
∴h(x)在[1,+∞)单调递减…(4分)
h(x)max=h(1)=0…(6分)
∴a≥0,
故实数a的取值范围为[0,+∞).…(7分)
(2)g(x)=2x3+ax-2,x>0
∵g′(x)=6x2+a…(9分)
当a≥0时,g′(x)≥0恒成立,
∴g(x)在(0,+∞)单调递增,无最小值,不合题意,
∴a<0.…(11分)
令g′(x)=0,则(舍负)
∵0<x<时,g′(x)<0;x>时,g′(x)>0,
∴g(x)在 上单调递减,在上单调递增,
是函数的极小值点..…(13分)
解得a=-6,
.…(14分)
点评:本题考查函数是增函数时实数的取值范围的求法,考查函数的解析式的求法,解题时要认真审题,仔细解答,注意导数性质的合理运用.
练习册系列答案
相关题目

违法和不良信息举报电话:027-86699610 举报邮箱:58377363@163.com

精英家教网