题目内容
在数列{an}中,(1)求数列{an}的通项an;
(2)若存在n∈N*,使得an≤(n+1)λ成立,求实数λ的最小值.
【答案】分析:(1)把已知等式中的n换成n-1,再得到一个式子,两式想减可得
=
,求得 a2=1,累乘化简可得数列{an}的通项an .
(2)
,由(1)可知当n≥2时,
,
,可证{
}是递增数列,又
及
,
可得λ≥
,由此求得实数λ的最小值.
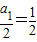
解答:解:(1)当n≥2时,由a1=1 及
①可得
②.
两式想减可得 nan =
-
,化简可得
=
,∴a2=1.
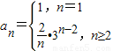
∴
•
•
…
=
=
×
×
×…×
=
=
.
综上可得,
.…(6分)
(2)
,由(1)可知当n≥2时,
,
设
,…(8分)
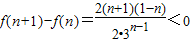
则
,
∴
,
故当n≥2时,{
}是递增数列.
又
及
,可得λ≥
,所以所求实数λ的最小值为
.…(12分)
点评:本题主要考查利用数列的递推关系求数列的通项公式,数列与不等式综合,数列的函数特性的应用,属于难题.
(2)
可得λ≥
解答:解:(1)当n≥2时,由a1=1 及
两式想减可得 nan =
∴
综上可得,
(2)
设
则
∴
故当n≥2时,{
又
点评:本题主要考查利用数列的递推关系求数列的通项公式,数列与不等式综合,数列的函数特性的应用,属于难题.
练习册系列答案
相关题目