题目内容
已知f(x)=x2+bx+c为偶函数,曲线y=f(x)过点(2,5),g(x)=(x+a)f(x),
(Ⅰ)求曲线y=g(x)有斜率为0的切线,求实数a的取值范围;
(Ⅱ)若当x=-1时函数y=g(x)取得极值,确定y=g(x)的单调区间。
(Ⅰ)求曲线y=g(x)有斜率为0的切线,求实数a的取值范围;
(Ⅱ)若当x=-1时函数y=g(x)取得极值,确定y=g(x)的单调区间。
解:(Ⅰ)
为偶函数,
故
,即有
,
解得b=0,
又曲线y=f(x)过点(2,5),
得
,有c=1,
∵
,
从而
,
曲线y=g(x)有斜率为0的切线,
故有g′(x)=0有实数解,
即
有实数解,
此时有
;
所以实数a的取值范围:
;
(Ⅱ)因x=-1时函数y=g(x)取得极值,
故有g′(-1)=0,即3-2a+1=0,解得a=2,
又
,
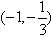
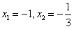
令g′(x)=0,得
,
当x∈
时,g′(x)>0,故g(x)在
上为增函数;
当x∈
时,g′(x)<0,故g(x)在
上为减函数;
当x∈
时,g′(x)>0,故g(x)在
上为增函数。
故
解得b=0,
又曲线y=f(x)过点(2,5),
得
∵
从而
曲线y=g(x)有斜率为0的切线,
故有g′(x)=0有实数解,
即
此时有
所以实数a的取值范围:
(Ⅱ)因x=-1时函数y=g(x)取得极值,
故有g′(-1)=0,即3-2a+1=0,解得a=2,
又
令g′(x)=0,得
当x∈
当x∈
当x∈
练习册系列答案
相关题目