题目内容

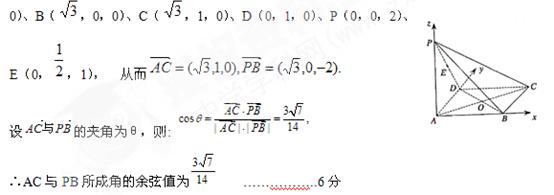
如图,在四棱锥P—ABCD中,底面ABCD为矩形,侧棱PA⊥底面ABCD,AB=,BC=1,PA=2,E为PD的中点.

 (1)求直线AC与PB所成角的余弦值;

(2)在侧面PAB内找一点N,使NE⊥面PAC,并求出N点到AB和AP的距离.

(1);(2)


解析:

解:

(2)由于N点在侧面PAB内,故可设N点坐标为(x,O,z),则,由NE⊥面PAC可得,

  ∴

即N点的坐标为,从而N点到AB、AP的距离分别为1,.

练习册系列答案
相关题目

违法和不良信息举报电话:027-86699610 举报邮箱:58377363@163.com

精英家教网