题目内容
(1)求椭圆的方程;
(2)求m的取值范围;
(3)求证直线MA、MB与x轴始终围成一个等腰三角形.
【答案】分析:(1)设出椭圆的标准方程,长轴长是短轴长的2倍求得a和b的关系,进而把点M代入椭圆方程求得a和b的另一个关系式,然后联立求得a和b,则椭圆的方程可得.
(2)依题意可表示出直线l的方程,与椭圆方程联立消去y,根据判别式大于0求得m的取值范围.
(3)设直线MA、MB的斜率分别为k1,k2,问题转化为证明k1+k2=0.设出点A,B的坐标,进而表示出两斜率,根据(2)中的方程式,根据韦达定理表示出x1+x2和x1x2,进而代入到k1+k2,化简整理求得结果为0,原式得证.
解答:解:(1)设椭圆方程为
则
,解得
∴椭圆方程
(2)∵直线l平行于OM,且在y轴上的截距为m
又
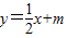
∴l的方程为:
由
,∴x2+2mx+2m2-4=0
∵直线l与椭圆交于A、B两个不同点,∴△=(2m)2-4(2m2-4)>0,
∴m的取值范围是{m|-2<m<2且m≠0}
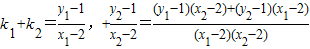
(3)设直线MA、MB的斜率分别为k1,k2,只需证明k1+k2=0即可
设
由x2+2mx+2m2-4=0可得x1+x2=-2m,x1x2=2m2-4
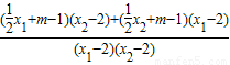
而
=
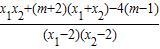
=
=
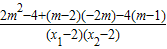
=
∴k1+k2=0
故直线MA、MB与x轴始终围成一个等腰三角形.
点评:本题主要考查了椭圆的性质,椭圆的标准方程,直线与椭圆的位置关系等.综合考查了圆锥曲线与直线的位置关系以及转化和化归的思想的运用.
(2)依题意可表示出直线l的方程,与椭圆方程联立消去y,根据判别式大于0求得m的取值范围.
(3)设直线MA、MB的斜率分别为k1,k2,问题转化为证明k1+k2=0.设出点A,B的坐标,进而表示出两斜率,根据(2)中的方程式,根据韦达定理表示出x1+x2和x1x2,进而代入到k1+k2,化简整理求得结果为0,原式得证.
解答:解:(1)设椭圆方程为
则
∴椭圆方程
(2)∵直线l平行于OM,且在y轴上的截距为m
又
∴l的方程为:
由
∵直线l与椭圆交于A、B两个不同点,∴△=(2m)2-4(2m2-4)>0,
∴m的取值范围是{m|-2<m<2且m≠0}
(3)设直线MA、MB的斜率分别为k1,k2,只需证明k1+k2=0即可
设
由x2+2mx+2m2-4=0可得x1+x2=-2m,x1x2=2m2-4
而
=
=
=
∴k1+k2=0
故直线MA、MB与x轴始终围成一个等腰三角形.
点评:本题主要考查了椭圆的性质,椭圆的标准方程,直线与椭圆的位置关系等.综合考查了圆锥曲线与直线的位置关系以及转化和化归的思想的运用.
练习册系列答案
相关题目