题目内容
函数
(
,
)的图像经过点
,则
______.
【答案】
1
【解析】
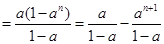
试题分析:显然应该求出
(
),其次求出和![]()
,这里
,因此极限可求.
考点:等比数列的和,极限.
练习册系列答案
相关题目
题目内容
函数
(
,
)的图像经过点
,则
______.
1
【解析】
试题分析:显然应该求出
(
),其次求出和![]()
,这里
,因此极限可求.
考点:等比数列的和,极限.