题目内容

已知函数

(1)当时,求最小值;

(2)若存在单调递减区间,求的取值范围;

(3)求证:).

 

【答案】

(1)1    (2)

【解析】

试题分析:(1)先求函数的导数,利用导数求出函数f(x)的单调区间,即可可求最小值;(2)先求导,由有正数解得到含有参数a的关于x的不等式的解,在分类求出满足条件的a,最后求并集即可.(3)用数学归纳法证明.

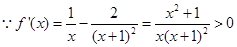
试题解析:(1),定义域为

 

上是增函数.

.                                4分

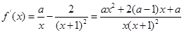
(2)因为

因为若存在单调递减区间,所以有正数解.

的解 

时,明显成立 .

②当时,开口向下的抛物线,总有的解;

③当时,开口向上的抛物线,

即方程有正根.

因为

所以方程有两正根.

时,

,解得

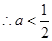
综合①②③知:

或: 

的解 

 即 

  即  

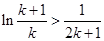
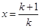
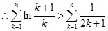
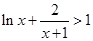
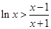
(3)(法一)根据(Ⅰ)的结论,当时,,即

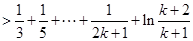
,则有,   

.                                 14分

 (法二)当时,

,即时命题成立.

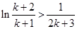
设当时,命题成立,即

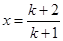
 时,

根据(Ⅰ)的结论,当时,,即

,则有

则有,即时命题也成立.

因此,由数学归纳法可知不等式成立.

考点:1.求函数的导数和导数性质的应用;2.含参数不等式的解法.

 

练习册系列答案
相关题目

违法和不良信息举报电话:027-86699610 举报邮箱:58377363@163.com

精英家教网