题目内容
已知函数f(x)=2x2-2ax+3在区间[-1,1]有最小值,记为g(a).(1)求g(a)的表达式;
(2)求g(a)的最大值.
【答案】分析:(1)先对函数进行配方得f(x)=2x2-2ax+3=2(x-
)2+3-
,再分类讨论研究函数的最小值;
(2)由(1)的分段函数,分段求函数的最大值,再取它们的最大值,从而得解.
解答:解:(1)由题意,f(x)=2x2-2ax+3=2(x-
)2+3-
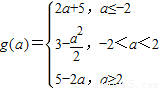
当
≤-1时,即a≤-2,最小值g(a)=f(-1)=2+2a+3=2a+5
当-1<
<1时,即-2<a<2,最小值g(a)=3-
当
≥1时,即a≥2,最小值g(a)=f(1)=2-2a+3=5-2a
∴
(2)当a≤-2时,g(a)=f(-1)=2+2a+3=2a+5最大值为1
当-2<a<2时,最小值g(a)=3-
最大值为3
当a≥2时,最小值g(a)=f(1)=2-2a+3=5-2a最大值为1
故g(a)的最大值为3
点评:本题以二次函数为载体,考查二次函数的最小值,关键是利用配方法,进行恰当的分类讨论.
(2)由(1)的分段函数,分段求函数的最大值,再取它们的最大值,从而得解.
解答:解:(1)由题意,f(x)=2x2-2ax+3=2(x-
当-1<
当
∴
(2)当a≤-2时,g(a)=f(-1)=2+2a+3=2a+5最大值为1
当-2<a<2时,最小值g(a)=3-
当a≥2时,最小值g(a)=f(1)=2-2a+3=5-2a最大值为1
故g(a)的最大值为3
点评:本题以二次函数为载体,考查二次函数的最小值,关键是利用配方法,进行恰当的分类讨论.
练习册系列答案
相关题目