题目内容
已知函数f(x)=(I)求证:不论a为何实数f(x)总为增函数;
(II)确定a的值,使f(x)为奇函数;
(Ⅲ)当f(x)为奇函数时,求f(x)的值域.
【答案】分析:(I)应用增函数的定义证明;
(II)根据奇函数定义,在定义域内f(-x)=-f(x)恒成立可求a值;
(Ⅲ)利用2x>0及函数单调性可求.
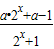
解答:(I)证明:f(x)=
=a-
,
设x1<x2,则f(x1)-f(x2)=(a-
)-(a-
)=
,
因为x10,
,
所以f(x1)<-f(x2)<0,即f(x1)<f(x2).
故不论a为何实数f(x)总是为增函数;
(II)若f(x)为奇函数,则f(-x)=-f(x),即a-
=-(a-
),
所以2a=
+
=1,即a=
.
故当a=
时,f(x)为奇函数.
(Ⅲ)由(II)知,若f(x)为奇函数,a=
,f(x)=
-
,
因为2x>0,所以0<
<1,-1<-
<0,所以-
<f(x)<
.
故f(x)的值域为(-
,
).
点评:本题考查函数的奇偶性、单调性,其定义是解决该类问题的基本方法.
(II)根据奇函数定义,在定义域内f(-x)=-f(x)恒成立可求a值;
(Ⅲ)利用2x>0及函数单调性可求.
解答:(I)证明:f(x)=
设x1<x2,则f(x1)-f(x2)=(a-
因为x10,
所以f(x1)<-f(x2)<0,即f(x1)<f(x2).
故不论a为何实数f(x)总是为增函数;
(II)若f(x)为奇函数,则f(-x)=-f(x),即a-
所以2a=
故当a=
(Ⅲ)由(II)知,若f(x)为奇函数,a=
因为2x>0,所以0<
故f(x)的值域为(-
点评:本题考查函数的奇偶性、单调性,其定义是解决该类问题的基本方法.
练习册系列答案
相关题目
已知函数f(x)=x2-bx的图象在点A(1,f(1))处的切线l与直线3x-y+2=0平行,若数列{
}的前n项和为Sn,则S2010的值为( )
| 1 |
| f(n) |
A、
| ||
B、
| ||
C、
| ||
D、
|