题目内容
已知函数f(x)=cos4x-2sinxcosx-sin4x。
(1)求f(x)的最小正周期;
(2)当x∈
时,f(x)求的最小值以及取得最小值x时的集合。
(1)求f(x)的最小正周期;
(2)当x∈
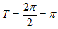
解:(1)∵
(或
)
∴
;
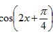
(2)法Ⅰ:∵
,
∴
,
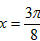
∴当
,即
时,取得最小值-1,
∴f(x)取得最小值
,此时x的集合为
。
法Ⅱ:∵![]()
∴
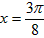
∴当
,即
时,
取得最小值-1,
∴f(x)取得最小值
,此时x的集合为
。
练习册系列答案
相关题目
已知函数f(x)=
,则关于x的方程f2(x)+bf(x)+c=0有5个不同实数解的充要条件是( )
|
| A、b<-2且c>0 |
| B、b>-2且c<0 |
| C、b<-2且c=0 |
| D、b≥-2且c=0 |