题目内容
设
,其中a为正实数。
(1)当
时,求f(x)的极值点;
(2)若f(x)为R上的单调函数,求a的取值范围。
(1)当
(2)若f(x)为R上的单调函数,求a的取值范围。
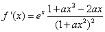
解:对f(x)求导得
①
(1)当
时,若f'(x)=0,则4x2-8x+3=0,
解得
结合①,可知

所以,
是极小值点,
是极大值点。
(2)若f(x)为R上的单调函数,则f'(x)在R上不变号
结合① 与条件a>0,知ax2-2ax+1≥0在R上恒成立,因此△=4a2- 4a=4a(a-1)≤0,
由此并结合a>0,知0<a≤1。
(1)当
解得
结合①,可知
所以,
(2)若f(x)为R上的单调函数,则f'(x)在R上不变号
结合① 与条件a>0,知ax2-2ax+1≥0在R上恒成立,因此△=4a2- 4a=4a(a-1)≤0,
由此并结合a>0,知0<a≤1。
练习册系列答案
相关题目