题目内容
已知等比数列{an}的前n项和为Sn,a3=
,S3=
,则公比q=( )
A. 1或-
B. -
C. 1 D. -1或![]()
【答案】
A
【解析】
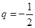
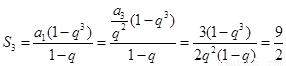
试题分析:当
时
,满足;但
时,
,解得
,故
或
,选A.
考点:1.等比数列的通项与求和求解.
练习册系列答案
相关题目
题目内容
已知等比数列{an}的前n项和为Sn,a3=
,S3=
,则公比q=( )
A. 1或-
B. -
C. 1 D. -1或![]()
A
【解析】
试题分析:当
时
,满足;但
时,
,解得
,故
或
,选A.
考点:1.等比数列的通项与求和求解.