题目内容
设各项均为正数的数列{an}的前n项和为Sn,已知数列
是首项为1,公差为1的等差数列。
(1)求数列{an}的通项公式;
(2)令
,若不等式
对任意n∈N*都成立, 求实数L的取值范围。
(1)求数列{an}的通项公式;
(2)令
解:(1)∵数列
是首项为1,公差为1的等差数列,
∴
,
∴
,
当n=1时,
;当n≥2时,
,
又
适合上式,
∴
.
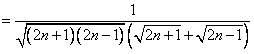
(2)![]()
![]()
![]()
,
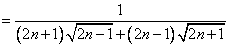
∴![]()
![]()
,
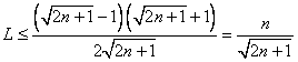
故要使不等式
对任意n∈N*都成立,
即
对任意n∈N*都成立,
得
对任意n∈N*都成立,
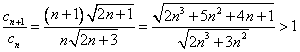
令
,则
,
∴
,
∴
,
∴
,
∴实数L的取值范围为
.
练习册系列答案
相关题目