题目内容
设x,y满足约束条件
【答案】分析:画出不等式组表示的平面区域,利用目标函数z=ax+by(a>0,b>0)的最大值为6,可得2a+4b=6,即1=
,利用“1”的代换,根据基本不等式,可求最小值.
解答:
解:画出不等式组表示的平面区域,
可知当直线z=ax+by,经过点(2,4)时,z取最大值,所以2a+4b=6,即1=
,
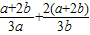
∴
=
=
+
+
≥3,故
的最小值为3.
故答案为3
点评:本题考查线性规划知识,考查基本不等式的运用,求得a,b的关系是关键.
解答:
可知当直线z=ax+by,经过点(2,4)时,z取最大值,所以2a+4b=6,即1=
∴
故答案为3
点评:本题考查线性规划知识,考查基本不等式的运用,求得a,b的关系是关键.
练习册系列答案
相关题目