题目内容
已知函数f(x)=x3+(1-a)x2-a(a+2)x+b(a,b∈R),
(Ⅰ)若函数f(x)的图象过原点,且在原点处的切线斜率是-3,求a,b的值;
(Ⅱ)若函数f(x)在区间(-1,1)上不单调,求a的取值范围。
(Ⅰ)若函数f(x)的图象过原点,且在原点处的切线斜率是-3,求a,b的值;
(Ⅱ)若函数f(x)在区间(-1,1)上不单调,求a的取值范围。
解:(Ⅰ)由函数f(x)的图象过原点得b=0,
又f′(x)=3x2+2(1-a)x-a(a+2),
f(x)在原点处的切线斜率是-3,
则-a(a+2)=-3,所以a=-3或a=1.
(Ⅱ)由f′(x)=0,得
,
又f(x)在区间(-1,1)上不单调,即
或
,
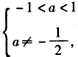
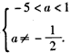
解得
或
,
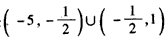
所以a的取值范围是
。
又f′(x)=3x2+2(1-a)x-a(a+2),
f(x)在原点处的切线斜率是-3,
则-a(a+2)=-3,所以a=-3或a=1.
(Ⅱ)由f′(x)=0,得
又f(x)在区间(-1,1)上不单调,即
解得
所以a的取值范围是
练习册系列答案
相关题目