题目内容
已知函数f(x)=ax2+lnx(a∈R),
(Ⅰ)当a=2时,求f(x)在区间[e,e2]上的最大值和最小值;
(Ⅱ)如果函数g(x),f1(x),f2(x)在公共定义域D上,满足f1(x)<g(x)<f2(x),那么就称g(x)为f1(x),f2(x)的“伴随函数”。
已知函数f1(x)=(a-
)x2+2ax+(1-a2)lnx,f2(x)=
x2+2ax,若在区间(1,+∞)上,函数f(x)是f1(x),f2(x)的“伴随函数”,求a的取值范围。
(Ⅰ)当a=2时,求f(x)在区间[e,e2]上的最大值和最小值;
(Ⅱ)如果函数g(x),f1(x),f2(x)在公共定义域D上,满足f1(x)<g(x)<f2(x),那么就称g(x)为f1(x),f2(x)的“伴随函数”。
已知函数f1(x)=(a-
解:(Ⅰ)当a=2时,
;
对于
,
∴f(x)在区间
上为增函数,
∴
。
(Ⅱ)在区间(1,+∞)上,函数f(x)是f1(x),f2(x)的“伴随函数”,
则
,
令
对x∈(1,+∞)恒成立,
且
对x∈(1,+∞)恒成立,
,(*)
①若
,
当
时,
在
,
此时p(x)在区间
上是增函数,并且在该区间上有
,不合题意;
,也不合题意;
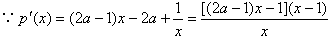
②若
,
此时在区间(1,+∞)上恒有p′(x)<0,
从而p(x)在区间(1,+∞)上是减函数;
要使p(x)<0在此区间上恒成立,只需满足
;
又因为
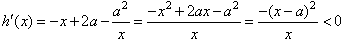
,
h(x)在(1,+∞)上是减函数;
,
综合可知a的取值范围是
。
对于
∴f(x)在区间
∴
(Ⅱ)在区间(1,+∞)上,函数f(x)是f1(x),f2(x)的“伴随函数”,
则
令
且
①若
当
在
此时p(x)在区间
②若
此时在区间(1,+∞)上恒有p′(x)<0,
从而p(x)在区间(1,+∞)上是减函数;
要使p(x)<0在此区间上恒成立,只需满足
又因为
h(x)在(1,+∞)上是减函数;
综合可知a的取值范围是
练习册系列答案
相关题目