搜索
题目内容
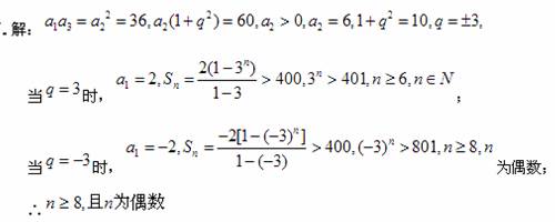
在等比数列
中,
求
的范围。
试题答案
相关练习册答案
答案
练习册系列答案
培优好卷单元加期末卷系列答案
A加直通车同步练习系列答案
天天象上初中同步学案系列答案
小学同步学考优化设计小超人作业本系列答案
MOOC淘题一本全练系列答案
小学升创优提分复习一线名师提分作业系列答案
一线名师权威作业本系列答案
初中课堂同步训练系列答案
实验报告册知识出版社系列答案
夺冠百分百新导学初中优化作业本系列答案
相关题目
在等比数列
中,
求
的范围。
在等比数列
中,
求
的范围.
(本小题满分12分)(1)
为等差数列{
a
n
}的前
n
项和,
,
,求
.
(2)在等比数列
中,
求
的范围
在等比数列
中,
求
的范围。
在等比数列
中,
求
的范围。
关 闭
试题分类
高中
数学
英语
物理
化学
生物
地理
初中
数学
英语
物理
化学
生物
地理
小学
数学
英语
其他
阅读理解答案
已回答习题
未回答习题
题目汇总
试卷汇总
练习册解析答案