题目内容
已知数列{an}的前n项和为Sn,且a1=4,Sn=nan+2-
(n≥2,n∈N*)
(1)求数列{an}的通项公式;
(2)设数列{bn}满足:b1=4,且bn+1=bn2-(n-1)bn-2(n∈N*),求证:bn>an(n≥2,n∈N*);
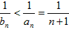
(3)求证:
(n≥2,n∈N*)
(1)求数列{an}的通项公式;
(2)设数列{bn}满足:b1=4,且bn+1=bn2-(n-1)bn-2(n∈N*),求证:bn>an(n≥2,n∈N*);
(3)求证:
解:(1)当n≥3时,
可得
∵
可得
(2)1°当n=2时,
不等式成立;
2°假设当n=k(k≥2,k∈N*)时,不等式成立,即
,
那么,当n=k+1时,
所以当n=k+1时,不等式也成立;
根据(1°),(2°)可知,当n≥2,n∈N*时,
(3)设f(x)=ln(1+x)-x,
∴f(x)在(0,+∞)上单调递减,∴f(x)<f(0),∴ln(1+x)<x
∵当n≥2,n∈N*时,
∴
∴

∴
。
可得
∵
(2)1°当n=2时,
2°假设当n=k(k≥2,k∈N*)时,不等式成立,即
那么,当n=k+1时,
所以当n=k+1时,不等式也成立;
根据(1°),(2°)可知,当n≥2,n∈N*时,
(3)设f(x)=ln(1+x)-x,
∴f(x)在(0,+∞)上单调递减,∴f(x)<f(0),∴ln(1+x)<x
∵当n≥2,n∈N*时,
∴
∴
∴
练习册系列答案
相关题目
已知数列{an}的前n项和Sn=an2+bn(a、b∈R),且S25=100,则a12+a14等于( )
| A、16 | B、8 | C、4 | D、不确定 |