题目内容
已知函数f(x)=(1)当a=1时,求f(x)在[
(2)若函数f(x)在[
(3)若关于x的方程1-x+2xlnx-2mx=0在区间[
【答案】分析:(1)当a=1时,可求得f(x)、f′(x),由f′(x)=0,得x=1,求出函数的极值、端点处函数值,然后进行比较即可;
(2)利用导数求出f(x)的增区间,由题意可知[
,+∞)为增区间的子集,由此可得a的范围;
(3)方程可变为
,则问题等价于函数
的图象与函数y=m的图象在区间[
,e]内恰有两个交点.利用导数研究函数g(x)的性质、极值、端点处函数值,画出草图,借助图象可得m的范围;
解答:解:(1)当a=1时,f(x)=
,
,
令f′(x)=0,得x=1,
于是,当
<x<1时,f′(x)<0,当1<x<2时,f′(x)>0,
所以当x=1时f(x)取得极小值,且f(1)=0,
又f(
)=1-ln2,f(2)=ln2-
,
所以当x=1时函数f(x)取得最小值0.
(2)
,
因为a为正实数,由定义域知x>0,
所以函数的单调递增区间为
,
又函数f(x)在
上为增函数,所以
,
所以a≥2;
(3)方程1-x+x2lnx-2mx=0在区间[
,e]内恰有两个相异的实数根,
推得方程
在区间[
,e]内恰有两个相异的实数根,即方程
在区间[
,e]内恰有两个相异的实数根,
则函数
的图象与函数y=m的图象在区间[
,e]内恰有两个交点.
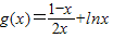
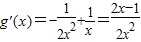
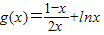
考察函数
,
,则g(x)在区间
为减函数,在
为增函数,
则有:
,
,
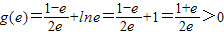
g(
)=
+ln
=
-1=
<0<g(e),
画函数
,x∈[
,e]的草图,要使函数
的图象与函数y=m的图象在区间[
,e]内恰有两个交点,
则要满足
,
所以m的取值范围为{m|
}.
点评:本题考查利用导数研究函数的最值、函数的单调性及函数的零点问题,考查函数思想、数形结合思想、转化思想.
(2)利用导数求出f(x)的增区间,由题意可知[
(3)方程可变为
解答:解:(1)当a=1时,f(x)=
令f′(x)=0,得x=1,
于是,当
所以当x=1时f(x)取得极小值,且f(1)=0,
又f(
所以当x=1时函数f(x)取得最小值0.
(2)
因为a为正实数,由定义域知x>0,
所以函数的单调递增区间为
又函数f(x)在
所以a≥2;
(3)方程1-x+x2lnx-2mx=0在区间[
推得方程
则函数
考察函数
则有:
g(
画函数
则要满足
所以m的取值范围为{m|
点评:本题考查利用导数研究函数的最值、函数的单调性及函数的零点问题,考查函数思想、数形结合思想、转化思想.
练习册系列答案
相关题目
已知函数f(x)=x2-bx的图象在点A(1,f(1))处的切线l与直线3x-y+2=0平行,若数列{
}的前n项和为Sn,则S2010的值为( )
| 1 |
| f(n) |
A、
| ||
B、
| ||
C、
| ||
D、
|